電話:13570151199
傳真:020-39972520
郵箱:hanyan@hanyancarbon.com
地址:廣東省廣州市番禺區東環街番禺大道北555號天安總部中心30號樓6層
水培法是一種可持續的農業系統,在共生環境中將水產養殖和水培法相結合。魚菜共生技術可以優化農業土地的利用,從而提高農作物的生產力。在水產養殖中,魚和飼料排泄的結果通常會積聚在水中,從而影響水質。然而,在魚菜共生系統中,剩余的飼料和魚排泄的結果將被用作植物的肥料(達到零浪費)。如果我們利用活性炭過濾水中魚類積累的雜質和污染,就可以降低魚類生存會影響水質的情況。我們測試了由活性炭制成的水培系統。而活性炭在水凈化中充當吸收劑,催化劑和過濾器,并能夠吸收陰離子,陽離子以及溶液或氣體形式的有機和無機化合物分子。
活性炭是一種能夠在溶液或氣體形式吸收陰離子,陽離子以及有機和無機化合物分子的碳。此外,活性炭還可以用作水凈化中的吸收劑,催化劑和過濾器,并且可以消除水的顏色和氣味。活性炭作為種植介質的優勢在于,它對溶液,氣體中的陰離子,陽離子以及有機和無機化合物形式的分子均具有良好的吸收能力。此外,活性炭還可以吸收水和土壤中的農藥殘留,增加土壤肥力并防止由微生物引起的根腐病的發生。
活性炭水培培養基的制備
通過使用潮汐系統,將植物容器放置在魚池頂部來設計魚菜共生。裝有活性炭的生物濾池,其厚度根據處理的不同而不同。此外,池中管道的末端與泵相連,以將水吸入植物維護容器。水按照再循環原理流動,因此,養魚過程中產生的廢水進入水稻植株的維護容器中,并在養魚過程中作為水源再利用。
水稻種子向水培法培養基的轉移
使用播種盒進行種子播種,首先將地面磨平,然后將種子均勻地撒在準備好的育苗盒上。7天后,將水稻幼苗從幼苗培養基轉移到制備的水培法培養基中。對于大小為50x50厘米的水培法培養基,種植了25株水稻幼苗。
魚向水培法培養基的轉移
使用的魚是羅非魚,重10-15克/頭,密度為50尾/平方米。將羅非魚適應2周后再與植物整合。
植物和魚類的維護
魚和米的維持期為90天,因此在一個魚維持周期中獲得了一個稻維持周期。每天兩次喂魚。所給的飼料是蛋白質含量約為30%的小丸形式。在水稻植物的維護過程中,沒有進行特殊處理,僅進行了常規監測,以使水稻植物避免害蟲和天敵。
活性炭處理與測試
在這項研究中應用了五種處理方法。處理的變化為P0(作為對照),P1=1.5cm活性炭,P2=3cm活性炭,P3=4.5cm活性炭和P4=6cm活性炭。處理后使用水質檢查器測量水質,例如溫度,溶解氧(DO)和pH。氨氣測試套件用于測量氨氣含量。
活性炭水培系統測試結果
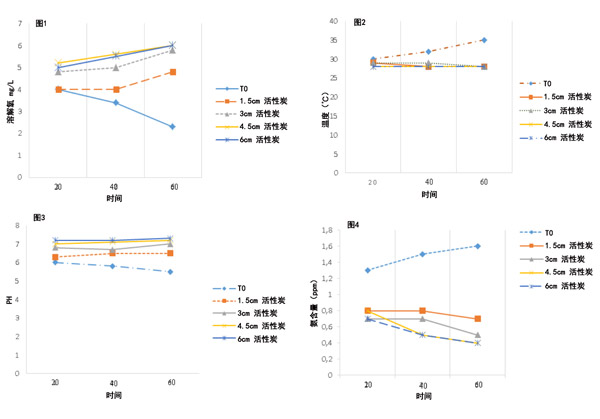
經過對使用活性炭過濾器的共養系統對羅非魚進行維護的水質參數值,活性炭水培時間為60天,測量結果表明,維護期間的水質參數傾向于處于適合羅非魚生長的條件。下圖1、2、3、4顯示了在20、40和60天齡時測得的水質參數:

這些數字表明,與使用活性炭過濾器的魚菜共生系統的對照組相比,處理P1,P2,P3和P4傾向于在羅非魚生長的合適范圍內。它是由表面上有大孔的活性炭引起的,因此它在吸收導致渾濁的化合物(懸浮的有機物和小顆粒)的過程中有效發揮了作用。活性炭主要由具有良好吸收能力的游離碳組成,因此可以保持水質。
圖1顯示與對照相比,處理P1,P2,P3和P4中的溶解氧含量持續增加。這是由于以下事實引起的:活性炭充當過濾器,可以增加氧氣的擴散,從而增加溶解在水中的氧氣含量。在這種情況下,使用生物濾池作為其底物的再循環可以充當氧氣和水擴散的場所。它還具有可以增加水中氧氣的空間或孔,其溶解氧含量為6.5-8.5 mg。除此之外,它還受溫度影響,溫度越低(圖2),羅非魚的耗氧量就減少,從而使水中的溶解氧水平增加。
圖2表明,在共生系統中使用活性炭作為水質的過濾介質,使水溫處于羅非魚生長的合適范圍。這導致魚的攝食活動增加因此羅非魚的生長更快。圖3表明,處理P3和P4中水的pH傾向于不波動。但是在處理P0(對照)中,羅非魚維持過程中水的pH值降低了。氨含量影響水的pH值降低,氨含量越高,水的pH值越低。活性炭是一種能夠以溶液或氣體形式吸收陰離子,陽離子以及有機和無機化合物分子的碳。另外,活性炭還可以用作水凈化中的吸收劑,催化劑和過濾器。它可以去除水的顏色和氣味,并中和水的pH值。
圖4顯示,由于有機物的積累(殘留飼料和殘留羅非魚新陳代謝增加),處理P0,P1和P2中的氨含量繼續增加。在處理P3和P4時,氨的含量沒有波動。這是因為活性炭能夠通過直接從孔中氧化或吸收來清除溶解的有機分子,從而結合到溶解的材料上。
這項研究的結果發現,在魚菜共生系統(米魚)中使用活性炭可以維持60天的水質。魚類和水稻生長的合適水質為處理P3(活性炭厚度為4.5厘米)和處理P4(活性炭厚度為6厘米)。不過建議要定期更換活性炭來保持對水質的過濾來維持水培系統。
文章標簽:椰殼活性炭,果殼活性炭,煤質活性炭,木質活性炭,蜂窩活性炭,凈水活性炭.推薦資訊
- 2025-11-10活性炭去除PFAS
- 2025-11-03防一氧化碳霍加拉特劑
- 2025-11-03防汞蒸汽專用炭防放射性碘專用炭
- 2025-11-03防酸專用炭與防氨專用炭
- 2025-11-03防護服專用炭及全防炭的介紹應用
- 2025-10-21活性炭從堿性甘氨酸溶液中吸附鉑
- 2025-10-10活性炭金屬改性對氫的吸附
- 2025-09-29活性炭吸附有機微污染物
- 2025-09-17活性炭去除對羥基苯甲醚
- 2025-09-09活性炭從水溶液中吸附苯酚
- 2025-08-27活性炭從水溶液中分離甲乙酮
- 2025-08-19活性炭對鈷離子的吸附與去除
