電話:13570151199
傳真:020-39972520
郵箱:hanyan@hanyancarbon.com
地址:廣東省廣州市番禺區東環街番禺大道北555號天安總部中心30號樓6層
使用甲烷干重整制氫由于甲烷的二氧化碳重整是吸熱反應,需要巨大的外部熱源。為了降低反應能耗,我們研究了在活性炭上負載的鎳和鎳氧化鎂催化劑用微波加熱的方法輔助甲烷制氫。為了利用微波裝置優化重整反應,對操作參數的影響進行了包容性研究,包括催化劑活性金屬的類型及其在活性炭載體中的濃度,進料流速和反應溫度對反應的影響。轉換和氫氣與一氧化碳的選擇性。還使用常規加熱進行甲烷干重整,并將結果與微波加熱的結果進行比較。
活性炭催化劑的制備
通過初始濕法浸漬制備具有不同鎳金屬負載量的活性炭催化劑。用這種方法制備了5%到25%鎳含量的活性炭。還使用浸漬技術制備含10%鎳與10%氧化鎂的活性炭和鎳鎂負載活性炭催化劑。將催化劑在90℃下連續攪拌下干燥,然后在120℃下干燥24小時。催化劑最終在700℃下在氬氣流下以10℃/秒的升溫速率煅燒5小時。
微波加熱實驗裝置
微波設置如圖1所示。干重整反應在固定床石英管中進行。將活性炭置于波導通道中并通過微波加熱至反應溫度。石英棉用于調節催化劑床在波導通道中心的位置。使用熱風機通過活性炭前面的開窗測量催化劑床的溫度。在實驗之前校準熱槍。該系統處于大氣壓下,并且施加的微波功率被設定為改變活性炭的溫度。在催化反應之前,活性炭在600℃下還原2小時,氫氣流速為50毫升/分鐘。將活性炭加熱至反應溫度后,將甲烷和二氧化碳(1:1)的混合物,總流速為500毫升/分鐘,在電爐中加熱,最后加入催化劑床。進料引入后約30分鐘,當產品的濃度變得穩定,該氣體產物取樣并用配有殘余氣體分析儀的氣相色譜儀進行分析。將產物取樣重復三次,得到合理的準確度(差異小于1%)。

圖1:微波和甲烷干重整的常規設置的示意圖。
溫度對轉化率和產物選擇性的影響
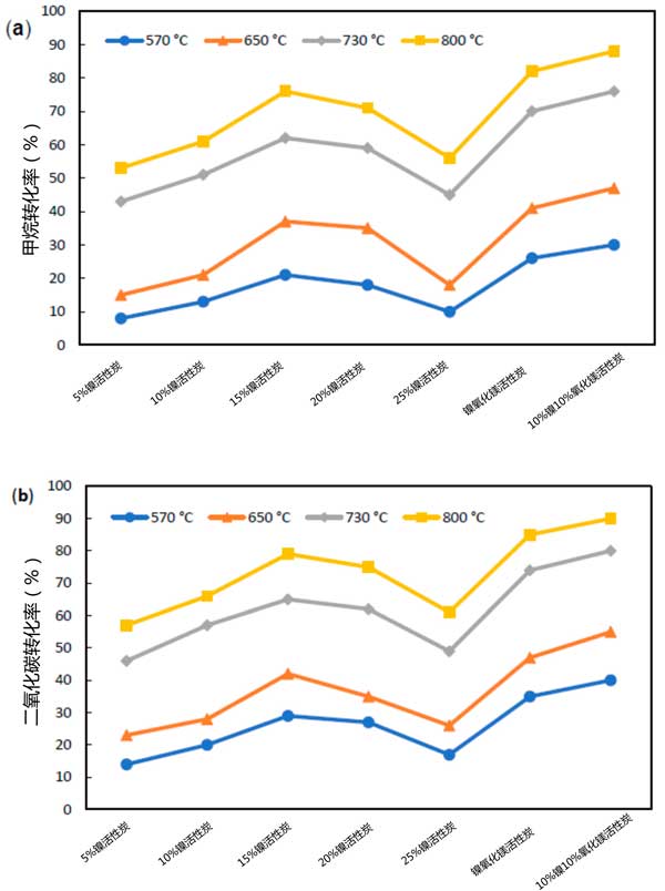
使用微波作為加熱介質,在不同溫度下甲烷和二氧化碳在合成活性炭上的轉化如圖2所示a,b,分別。可以看出,反應溫度的升高加速了重整反應,導致反應物在較高溫度下的轉化率較高。如所證明的,在載鎳活性炭催化劑中,15%的鎳負載量分別表現出最高的轉化率,其中甲烷和二氧化碳分別為76%和79%。隨著鎳含量的增加,轉化率呈下降趨勢。觀察到的趨勢可能與這些活性炭的氫吸收和鎳分散結果有關,這表明了相同的趨勢。結果表明,隨著鎳含量的增加高達15%,可用于吸附反應氣體的位點的數量增加。此外,發現向活性炭中加入氧化鎂對催化劑的活性有積極的影響,使載鎳氧化鎂活性炭催化劑的甲烷轉化率提高到84%和88%。這些催化劑的氫吸收和分散結果表明,通過添加氧化鎂,活性炭載體上的鎳分散體得到增強,因此重整反應的活性位點數增加。將這幾種活性炭進行比較,發現后載鎳鎂活性炭的轉化率更高。這可歸因于以下事實:通過共浸漬氧化鎳和氧化鎂,部分氧化鎳相將位于氧化鎂層下方,使得它們不能被反應氣體接觸。

圖2:(a)二氧化碳和(b)甲烷轉化率。
加熱機理對甲烷重整的影響
為了研究微波加熱對干重整反應的影響,使用常規的活性炭催化劑加熱進行實驗。結果如圖3所示。二氧化碳和甲烷的平衡轉化率和氫氣和一氧化碳的平衡比也繪制在圖3中。認為兩個反應進行平衡計算,即通過二氧化碳和反向水煤氣變換反應進行甲烷重整。據信甲烷的重整開始于CH 4分解成含碳沉積物。這些沉積物(至少是高反應性沉積物)在下一步中被二氧化碳氣化,從而引起活性位點的原位再生。反向水煤氣變換反應也作為副反應發生,其中來自甲烷分解的一些氫與二氧化碳反應生成水和一氧化碳。

圖3:微波與常規加熱和平衡條件的比較。
與傳統加熱相比,使用微波加熱,甲烷和二氧化碳的轉化率都更高。轉換的差異可以通過加熱機制之間的差異來解釋。在傳統的加熱中,熱通量負責能量傳遞,而微波能量直接傳遞給活性炭催化劑,沒有任何熱通量。這導致活性炭內較高的溫度相比,表面附近的周圍大氣的溫度,其可以被轉換為熱分布的均勻性更高相對于傳統的加熱。微波加熱還在活性炭床內產生微等離子體(也稱為熱點),其中溫度高于本體催化劑床中測量的平均溫度。例如熱點在反應速率增強,會產生更高的產量和改善的非均相催化反應。值得注意的是,在微波條件下二氧化碳和甲烷的轉化率總是較高,與常規加熱幾乎沒有差別。與常規加熱相反,微波加熱可在活性炭表面產生多個熱點,其中局部反應溫度高于總反應溫度。
本次研究用微波作為加熱源,研究了一系列活性炭催化劑的二氧化碳甲烷重整反應。在具有不同鎳負載量的活性炭催化劑中,15%鎳含量的活性炭顯示出最高活性。發現添加鎂作為促進劑通過增加鎳分散來增強催化劑的活性。氫和一氧化碳產生比率增加,表明加入鎂后,二次反應的效果不太明顯。發現提高反應溫度可改善反應物的轉化率,這是預期的,因為重整反應是吸熱的。與常規加熱相比,在兩個加熱系統的相同活性炭床溫下施加微波加熱導致甲烷轉化率的顯著增強;诔隹跉怏w溫度的反應器能量效率在兩種活性炭催化劑的加熱機制之間進行比較。發現微波加熱具有比其常規對應物更低的出口氣體溫度和更高的效率。
文章標簽:椰殼活性炭,果殼活性炭,煤質活性炭,木質活性炭,蜂窩活性炭,凈水活性炭.推薦資訊
- 2025-11-10活性炭去除PFAS
- 2025-11-03防一氧化碳霍加拉特劑
- 2025-11-03防汞蒸汽專用炭防放射性碘專用炭
- 2025-11-03防酸專用炭與防氨專用炭
- 2025-11-03防護服專用炭及全防炭的介紹應用
- 2025-10-21活性炭從堿性甘氨酸溶液中吸附鉑
- 2025-10-10活性炭金屬改性對氫的吸附
- 2025-09-29活性炭吸附有機微污染物
- 2025-09-17活性炭去除對羥基苯甲醚
- 2025-09-09活性炭從水溶液中吸附苯酚
- 2025-08-27活性炭從水溶液中分離甲乙酮
- 2025-08-19活性炭對鈷離子的吸附與去除
