電話:13570151199
傳真:020-39972520
郵箱:hanyan@hanyancarbon.com
地址:廣東省廣州市番禺區東環街番禺大道北555號天安總部中心30號樓6層
活性炭與天然硅鋁酸鹽混合物,天然硅鋁酸鹽,活性炭和層狀硅酸鹽粘土在農業中被廣泛用作動物營養的添加劑和用于土壤調理和修復的肥料。天然層狀硅酸鹽被成為抗毒素營養素,沸石,膨潤土和活性炭(60:20:1)的獨特組合,使用特定技術加工而成。
近年來,人們對活性炭在農業技術上的應用越來越感興趣。幾項研究表明,膨潤土和沸石、活性炭都具有理想的性能和較大的持水能力。而在處理土壤中,它們改善了有效養分含量的水平。活性炭和天然硅鋁酸鹽獨特的物理和化學特性使其特別適合于農業用途。沸石和膨潤土分別是天然存在的結構和層狀硅酸鹽礦物,具有高陽離子交換和離子吸附能力。
有趣的是,在沒有植物的情況下,活性炭也會影響土壤介質中的氮和其他營養物質濃度。此外,發現向土壤中添加活性炭可增加植物生物量,這可能是因為氮的可利用率較高。具體而言,我們研究了由沸石(> 90%斜發沸石),膨潤土(> 83%蒙脫石)和活性炭(60:20:1)的混合物組成的抗毒性營養素玉米植物(玉米L.)在不利的水條件下。就我們所知,這是第一個研究在干旱條件下活性炭混合物處理對植物生長的影響的研究。
植物材料
實驗植物材料由在沙培養中生長的玉米植物組成。沙粒度為0.01-0.075mm。播種前,種子用3%H2O2滅菌15分鐘,并用蒸餾水沖洗。在蒸餾水中浸泡24小時后,將種子轉移到含有無菌砂(700mL)的單個盆中。使用的腔室生長方法中,玉米植物暴露于16小時光照和8h黑暗的方案中,恒定的環境溫度下(25℃)。該實驗包括120個盆,每個盆包含5個種子。兩個主要的實驗組的組織如下:第一組(對照)包括60個沙子種子盆; 第二組活性炭混合物處理組)由60個盆栽種子覆蓋0.01g 活性炭混合物的種子。播種后,用10mL蒸餾水灌溉盆,以在苗期保持最佳土壤濕度條件。從第12天到第15天,用20mL蒸餾水和營養液交替灌溉。在生長的第15天,對照和活性炭混合物處理的植物進一步細分為兩個亞組,每個由30個隨機選擇的盆組成。

我們在所有檢查組中干旱脅迫條件下脯氨酸含量增加(圖1)。在干旱條件下,與對照組相比,活性炭混合物的存在與葉中脯氨酸含量稍低有關,這表明活性炭混合物在干旱條件下有積極作用。
當葉片中的游離脯氨酸含量降低時,表明當存在活性炭混合物時,干旱條件下植物的生理損傷水平降低。這種影響可能是由于天然硅鋁酸鹽存在的濕度增加。盡管干旱條件誘導了對照組和活性炭混合物組的根中游離脯氨酸含量的顯著增加,但活性炭組中這種增加更為顯著;钚蕴炕旌衔锝M植物根中游離脯氨酸含量極高,增加了脯氨酸的保護作用,脯氨酸在植物組織中起到滲透物質的作用:使植物更有效地吸收干旱土壤中的水分。

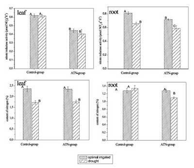
硝酸還原酶(NR)活性水平和兩個組(活性炭和對照)的葉和根中的氮含量如圖2所示。這些結果表明干旱條件誘導了兩個組(對照和活性炭組)的根中的硝酸還原酶活性的顯著降低,以及活性炭混合物組根部中的N吸收降低。
在本研究中,我們證明在灌溉和干旱條件下,活性炭混合物處理對玉米植株的生物量和某些生理脅迫參數有顯著的正向影響。用活性炭處理的植物具有較高的整株植物和營養部分。此外,在活性炭處理的植物葉片中記錄到增加的水勢,降低的脯氨酸積累和降低的硝酸還原酶活性; 而在根中觀察到較高的脯氨酸積累和較少的硝酸還原酶活性。我們的數據一起表明,用活性炭混合物處理的植物可能具有增加的抗旱能力,盡管需要進一步的調查。
文章標簽:椰殼活性炭,果殼活性炭,煤質活性炭,木質活性炭,蜂窩活性炭,凈水活性炭.推薦資訊
- 2025-11-10活性炭去除PFAS
- 2025-11-03防一氧化碳霍加拉特劑
- 2025-11-03防汞蒸汽專用炭防放射性碘專用炭
- 2025-11-03防酸專用炭與防氨專用炭
- 2025-11-03防護服專用炭及全防炭的介紹應用
- 2025-10-21活性炭從堿性甘氨酸溶液中吸附鉑
- 2025-10-10活性炭金屬改性對氫的吸附
- 2025-09-29活性炭吸附有機微污染物
- 2025-09-17活性炭去除對羥基苯甲醚
- 2025-09-09活性炭從水溶液中吸附苯酚
- 2025-08-27活性炭從水溶液中分離甲乙酮
- 2025-08-19活性炭對鈷離子的吸附與去除
